Bab 5 F4 Indeks dan Logarithma Percubaan SPM Pahang 2018
Bab 5 Tingkatan 4 Indeks dan Logarithma Percubaan SPM Pahang 2018
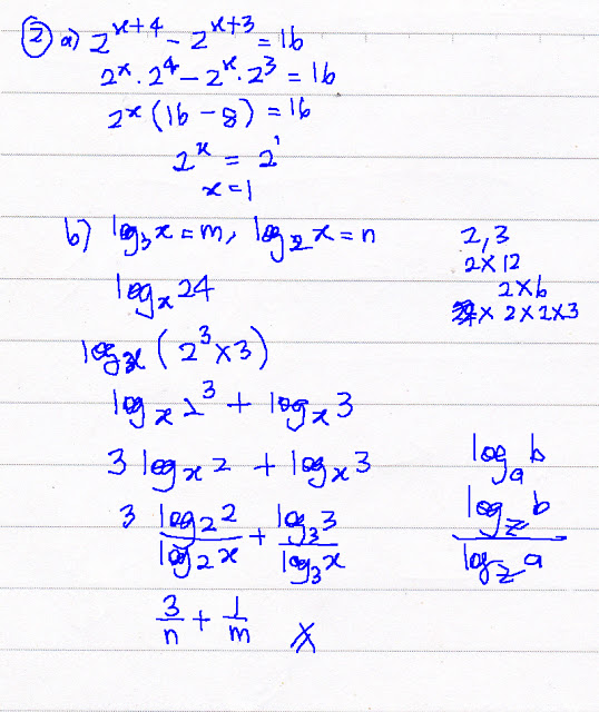
Cadangan jawapan Soalan Kertas Percubaan SPM Pahang 2018 bagi soalan Indeks dan Logarithma.
KLIK Juga
KLIK SHARE DI BAWAH UNTUK BERKONGSI MAKLUMAT DENGAN RAKAN-RAKAN. Terima Kasih Atas Sokongan.
Popular posts from this blog
Jawapan Buku Teks Matematik Tambahan Tingkatan 4 KSSM 2020 Bab 1 Fungsi Fungsi dari set X kepada set Y ialah hubungan khas yang memetakan setiap unsur x ∈ X kepada hanya satu unsur y ∈ Y. Mana-mana unsur x dalam set X yang dipetakan kepada satu unsur y dalam set Y oleh y = 2x + 1 ditulis dengan tatatanda seperti berikut: f : x → y atau f (x) = y f : x → 2x + 1 atau f (x) = 2x + 1 dengan x ialah objek dan 2x + 1 ialah imej Secara amnya, domain bagi suatu fungsi ialah set nilai x yang mungkin, yang membuatkan suatu fungsi tertakrif manakala julat pula ialah set nilai y yang diperoleh selepas menggantikan semua nilai x yang mungkin itu. Q&A Latih Diri 1.2 Latih Diri 1.3 Latihan Intensif 1.1 Latih Diri 1.4 Menentukan imej atau objek bagi suatu fungsi gubahan Latih Diri 1.5 ms 15 Menyelesaikan masalah melibatkan fungsi gubahan Latih Diri 1.6 Latih Diri 1.7 ms 18 Mnentukan suatu fungsi apabila fungsi gubahan dan salah satu fungsinya diberi Latihan Intensif 1.2 ms 19 -...
Matematik Tingkatan 2 Blog rujukan untuk semua pelajar menjadikan salah satu bahan pengukuhan pembelajaran Matematik Tingkatan 2 berasaskan Buku Teks KPM Kurikulum Standard Sekolah Menengah bagi seluruh pelajar Matematik Tingkatan 2 . Matematik Tingkatan 2 terdiri daripada 13 bab yang disenaraikan dibawah. Pelajar Tingkatan 2 atau pelajar PT3 boleh merujuk setiap bab dengan klik pada tajuk untuk ke bahan tertentu. Diharap dengan pengongsian ini dapat mengukuhkan pemaham tentang Matematik bagi menghadapi PT3 serta peperiksaan tertentu. Matematik Tingkatan 2 KSSM Bab 1 Pola dan Jujukan 1.1 Pola 1.2 Jujukan 1.3 Pola dan Jujukan >>> Menjana Kecemerlangan G enerating Excellence ms 15 Bab 2 Pemfaktoran dan Pecahan Algebra 2.1 Kembangan >> Jom Cuba 2.1 ms 26 ...
Matematik Tambahan Tingkatan 5 Matematik Tambahan KSSM Tingkatan 5, 2021 ==> KLIK SINI < KLIK SINI > Jawapan Buku Teks Perbincangan dan Cadangan Matematik Tambahan Tingkatan 5 Bab 1 Janjang Penilaian Kendiri 4 ms 10 Penilaian Kendiri 5 ms 11 Latihan Formatif 1.1 ms 12 Penilaian Kendiri 8 ms 17 Penilaian Kendiri 9 ms 19 Penilaian Kendiri 10 ms 22 Penilaian Kendiri 11 ms 23 Latihan Formatif 1.2 ms 24 Latihan Sumatif ms 26 Bab 2 Hukum Linear Penilaian Kendiri 4 ms 39 Latihan Kediri 5 ms 42 Latihan Formatif 2.2 ms 45 Latihan Sumatif ms 45 Bab 3 Pengamiran Latihan Kediri 4 Latihan Kediri 5 Latihan Kediri 6 Latihan Formatif 3.1 ms 60 Soalan 1-5 Latihan Kediri 7 ms 63 Latihan Formatif 3.1 ms 60 Soalan 6-10 Penilaian Kediri 9 ms 68 Penilaian Kediri 10 ms 70 Penilaian Kediri 11 ms 73 Formatif 3.2 ms 74 Latihan Sumatif ms 76 Latihan Sum...
Comments
Post a Comment