Untuk Soalan Seterusnya, tap/klik Link (merah) di bawah setiap soalan semasa, eg: F3 Bab 1 (Uji Minda 1.1a) pilih Q4 atau Q5 bergantung soalan yg dicari. Jika tiada soalan tersedia, comment untuk di update soalan tertentu.
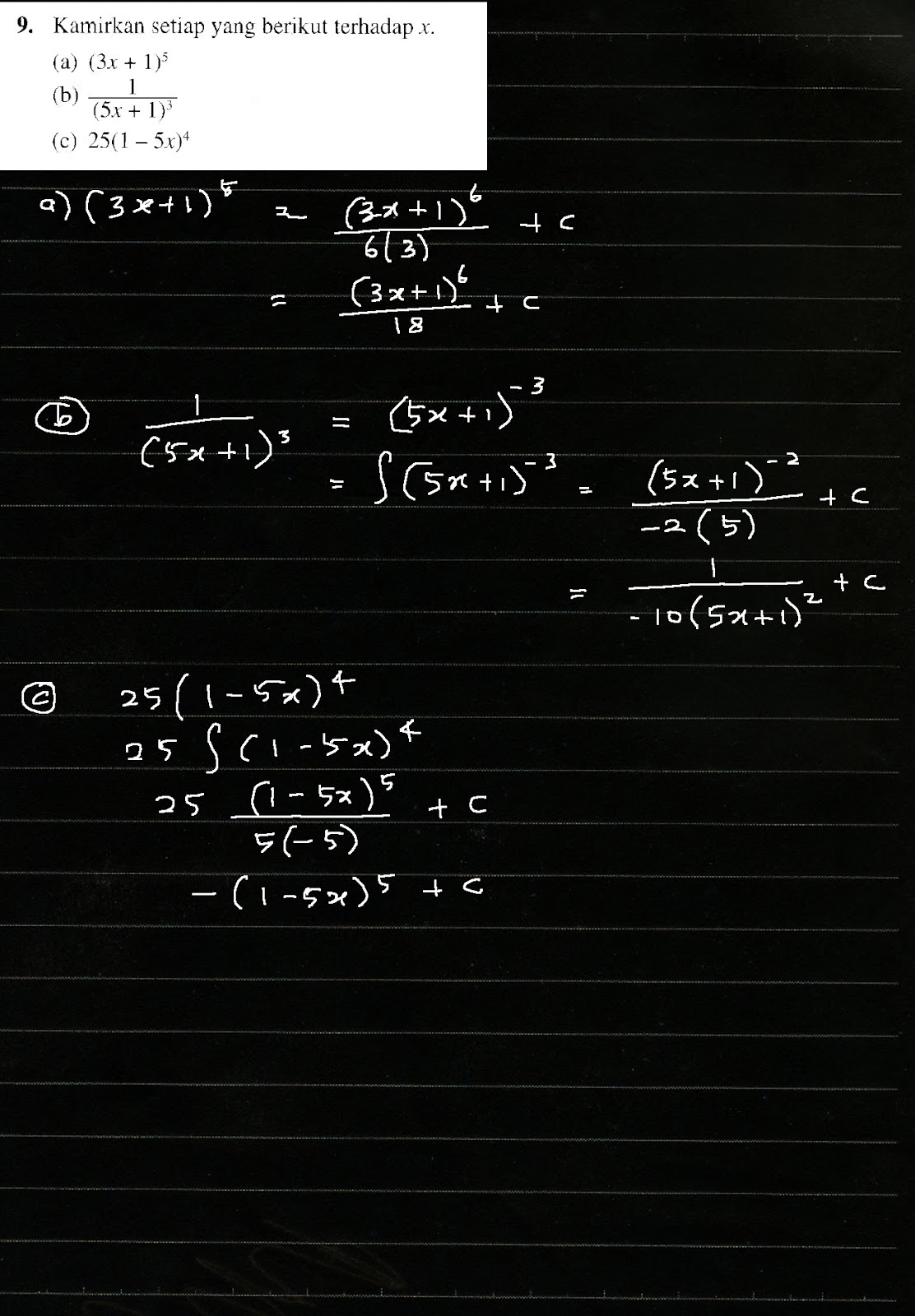
F5 Add Math Bab 3 Pengamiran Latihan Formatif 3.1 ms 60
Get link
Facebook
X
Pinterest
Email
Other Apps
F5 Add Math Bab 3 Pengamiran Latihan Formatif 3.1 ms 60
Sila Komen di ruang komen di bawah untuk sebarang pertanyaan atau cadangan soalan, Nyatakan latihan, mukasurat dan nombor soalan. Please SHARE ke WS group atau FB / IG
Get link
Facebook
X
Pinterest
Email
Other Apps
Comments
Kepada semua pelajar/pelawat blog ini agar meninggalkan komen di ruang komen samada apa yang dipaparkan di blog ini dapat difahami atau sukar difahami agar dapat cikgu tingkatkan usaha. Feedback semua amat diperlukan untuk cikgu pastikan samada terus aktifkan blog ini atau sebaliknya. Kerjasama semua amat cikgu hargai. Blog aktif bergantung kepada support pengunjung. Terima kasih.
Jawapan Buku Teks Matematik Tambahan Tingkatan 4 KSSM 2020 Bab 1 Fungsi Fungsi dari set X kepada set Y ialah hubungan khas yang memetakan setiap unsur x ∈ X kepada hanya satu unsur y ∈ Y. Mana-mana unsur x dalam set X yang dipetakan kepada satu unsur y dalam set Y oleh y = 2x + 1 ditulis dengan tatatanda seperti berikut: f : x → y atau f (x) = y f : x → 2x + 1 atau f (x) = 2x + 1 dengan x ialah objek dan 2x + 1 ialah imej Secara amnya, domain bagi suatu fungsi ialah set nilai x yang mungkin, yang membuatkan suatu fungsi tertakrif manakala julat pula ialah set nilai y yang diperoleh selepas menggantikan semua nilai x yang mungkin itu. Q&A Latih Diri 1.2 Latih Diri 1.3 Latihan Intensif 1.1 Latih Diri 1.4 Menentukan imej atau objek bagi suatu fungsi gubahan Latih Diri 1.5 ms 15 Menyelesaikan masalah melibatkan fungsi gubahan Latih Diri 1.6 Latih Diri 1.7 ms 18 Mnentukan suatu fungsi apabila fungsi gubahan dan salah satu fungsinya diberi Latihan Intensif 1.2 ms 19 -...
Matematik Tingkatan 2 Blog rujukan untuk semua pelajar menjadikan salah satu bahan pengukuhan pembelajaran Matematik Tingkatan 2 berasaskan Buku Teks KPM Kurikulum Standard Sekolah Menengah bagi seluruh pelajar Matematik Tingkatan 2 . Matematik Tingkatan 2 terdiri daripada 13 bab yang disenaraikan dibawah. Pelajar Tingkatan 2 atau pelajar PT3 boleh merujuk setiap bab dengan klik pada tajuk untuk ke bahan tertentu. Diharap dengan pengongsian ini dapat mengukuhkan pemaham tentang Matematik bagi menghadapi PT3 serta peperiksaan tertentu. Matematik Tingkatan 2 KSSM Bab 1 Pola dan Jujukan 1.1 Pola 1.2 Jujukan 1.3 Pola dan Jujukan >>> Menjana Kecemerlangan G enerating Excellence ms 15 Bab 2 Pemfaktoran dan Pecahan Algebra 2.1 Kembangan >> Jom Cuba 2.1 ms 26 ...
Jawapan Matematik Tambahan Buku Teks KSSM Tingkatan 5 2021 Cadangan dan perbincangan Jawapan Matematik Tambahan Buku Teks KSSM Tingkatan 5 2021 Bab 1 Sukatan Membulat 1.1 Radian Dalam sukatan membulat, sistem yang biasa digunakan untuk mengukur sudut adalah dalam sebutan darjah. Walau bagaimanapun, dalam beberapa cabang matematik, ukuran untuk suatu sukatan membulat tidak sesuai dilakukan dalam darjah. Oleh itu, satu unit baharu yang dikenali sebagai radian diperkenalkan untuk menunjukkan saiz suatu sudut. 1.2 Panjang Lengkok Suatu Bulatan Latihan Kendiri 1.3 Latihan Kendiri 1.4 Latihan Formatif 1.2 Latihan Kendiri 1.5 Latihan Kendiri 1.6 Latihan Kendiri 1.7 Latihan Formatif 1.3 Latihan Kendiri 1.8 Latihan Formatif 1.4 Latihan Sumatif Bab 2 Pembezaan Konsep had bagi suatu fungsi mula diperkenalkan secara eksplisit oleh Sir Isaac Newton. Beliau menyatakan bahawa had ialah konsep asas dalam kalkulus dan menjelaskan kon...
Comments
Post a Comment